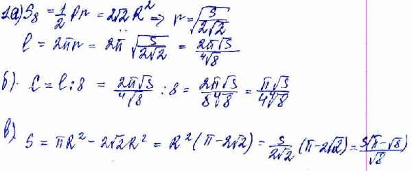
Площадь правильного восьмиугольника равна S. Найдите:
а) длину описанной окружности;
б) длину дуги, стягиваемой стороной многоугольника;
в) площадь части описанного круга, лежащей вне многоугольника.
а) длину описанной окружности;
б) длину дуги, стягиваемой стороной многоугольника;
в) площадь части описанного круга, лежащей вне многоугольника.
Знаешь ответ?
Чтобы оставить ответ, войдите или зарегистрируйтесь.
Ответ или решение 1
Новые вопросы в разделе Другие предметы
Январий
19.11.2023, 12:25
ЯВКУСНЫЙДОШИРАК)))))))
19.11.2023, 12:24
siddiq
19.11.2023, 12:23
Носова Елена
19.11.2023, 12:22
234567
19.11.2023, 12:21
