Все
Математика
Алгебра
Геометрия
Литература
Русский язык
Истоки
Краеведение
Французский язык
Литературное чтение
Астрономия
Природоведение
Родной край
Немецкий язык
Технология
Физика
Английский язык
Обществознание
Химия
Биология
История
О`zbek tili
Окружающий мир
Естествознание
География
Украинский язык
Информатика
Украинская литература
Казахский язык
Физкультура и спорт
Экономика
Музыка
Право
Белорусский язык
МХК
Кубановедение
ОБЖ
Психология
Кыргыз тили
Другие предметы
Показать все предметы
Хушхабар
03.02.2022, 04:45
Другие предметы

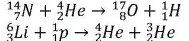
Используя законы сохранения, определите неизвестные изотопы X и Y в следующих реакциях: a) 14/7N +

4/2Не -> X + 1/1Н; б) 6/3Li+ Y -> 4/2He + 3/2Не.
Знаешь ответ?

Чтобы оставить ответ, или зарегистрируйтесь.

Ответ или решение 1
Иван Григорьев

ответ к заданию по физике