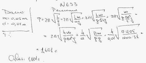
Ареометр массой m=50 г, имеющий трубку диаметром d=1 см, плавает в воде. Ареометр немного погрузили
в воду и затем предоставили самому себе, в результате чего он стал совершать гармонические колебания. Найти период Т этих колебаний.
Знаешь ответ?
Чтобы оставить ответ, войдите или зарегистрируйтесь.
Ответ или решение 1
Арна
Ареометр массой m=50 г, имеющий трубку диаметром d=1 см, плавает в воде. Ареометр немного погрузили в воду и затем предоставили самому себе, в результате

Новые вопросы в разделе Другие предметы
Январий
19.11.2023, 12:25
ЯВКУСНЫЙДОШИРАК)))))))
19.11.2023, 12:24
siddiq
19.11.2023, 12:23
Носова Елена
19.11.2023, 12:22
234567
19.11.2023, 12:21