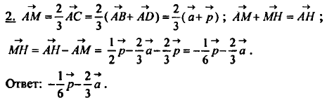
Точка М лежит на диагонали АС параллелограмма ABCD, а точка Н — на стороне AD,
причем AM : МС = 2 : 1 и АН = HD. Выразите вектор MN через векторы a и p , где a= АВ и p= AD.
Знаешь ответ?
Чтобы оставить ответ, войдите или зарегистрируйтесь.
Ответ или решение 1
Новые вопросы в разделе Другие предметы
Январий
19.11.2023, 12:25
ЯВКУСНЫЙДОШИРАК)))))))
19.11.2023, 12:24
siddiq
19.11.2023, 12:23
Носова Елена
19.11.2023, 12:22
234567
19.11.2023, 12:21
