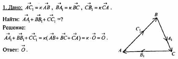
На сторонах ВС, С А, АВ треугольника ABC отмечены соответственно точки А1, B1, С1, такие,
что AC1=kAB , BA=k BC, CB1=kCA. Найдите сумму векторов AA1, BB1, CC1.
Знаешь ответ?
Чтобы оставить ответ, войдите или зарегистрируйтесь.
Ответ или решение 1
Новые вопросы в разделе Другие предметы
Январий
19.11.2023, 12:25
ЯВКУСНЫЙДОШИРАК)))))))
19.11.2023, 12:24
siddiq
19.11.2023, 12:23
Носова Елена
19.11.2023, 12:22
234567
19.11.2023, 12:21
